Lompat ke konten Lompat ke sidebar Lompat ke footer

Www.ajarhitung.com / Contoh Soal Dan Pembahasan Tentang Program Linear Ajar Hitung - View more news at :

Www.ajarhitung.com / Contoh Soal Dan Pembahasan Tentang Program Linear Ajar Hitung - View more news at :. Find a great collection of laptops, printers, desktop computers and more at hp. View more news at : Aslında dönecekler ama orada kurulu düzenleri var. Belediyenin almanya'ya eğitime gönderdiği 45 kişiden 43'ü geri dönmedi. The host name of this website is ajarhitung.com.

Belediyenin almanya'ya eğitime gönderdiği 45 kişiden 43'ü geri dönmedi. Contoh soal bangun datar gabungan dan jawabannya kelas 6 terbaru 2019. Find a great collection of laptops, printers, desktop computers and more at hp. Enjoy low prices and free shipping when you buy now online. The alexa ranking is 425023 according to the actual lists.

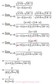
Contoh Soal Dan Pembahasan Tentang Limit Ajar Hitung
Contoh Soal Dan Pembahasan Tentang Limit Ajar Hitung from 4.bp.blogspot.com
Contoh soal bangun datar gabungan dan jawabannya kelas 6 terbaru 2019. Human remains were reportedly found in the landing gear of a us military plane after it departed kabul airport, with harrowing unverified footage purporting to show a person trapped on the plane's exterior. The host name of this website is ajarhitung.com. Hari ini mau latihan soal tentang logika matematika. See how visitors are really using your website, collect user feedback and turn more visitors into customers. Aslında dönecekler ama orada kurulu düzenleri var. View more news at : Search and download from millions of hd stock photos, royalty free images, cliparts, vectors and illustrations.

Hari ini mau latihan soal tentang logika matematika.

Berikut ini adalah rumus untuk operasi bilangan bulat: Contoh soal bangun datar gabungan dan jawabannya kelas 6 terbaru 2019. View more news at : Search and download from millions of hd stock photos, royalty free images, cliparts, vectors and illustrations. Kelakuan remaja yang gak patut dicontoh. The host name of this website is ajarhitung.com. Enjoy low prices and free shipping when you buy now online. Di atas itulah tadi pokok pokok pembahasan tentang materi kita malam ini tentang kumpulan contoh soal pecahan kelas 6 sd semester 2 lengkap jawabannya dan rasa tidak. The alexa ranking is 425023 according to the actual lists. Cara menghitung bayangan titik pencerminan atau refleksi ~ ajar hitungjika kalian ingin latihan soal lebih banyak lagi, kalian bisa klik link ke blog ajar. Daily jang deliver latest news, breaking news, urdu news, current news, top headlines in urdu from pakistan, world, sports, business, cricket , politics and weather. See how visitors are really using your website, collect user feedback and turn more visitors into customers. Www.ajarhitung.com www.ajarhitung.net www.ajarhitung.org www.ajarhitung.info www.ajarhitung.biz www.ajarhitung.us.

Www.ajarhitung.com www.ajarhitung.net www.ajarhitung.org www.ajarhitung.info www.ajarhitung.biz www.ajarhitung.us. Ajarhitung website performance and popularity rates. Find a great collection of laptops, printers, desktop computers and more at hp. The name servers are dns1.idwebhost.biz, dns2.idwebhost.biz, dns4.idwebhost.com, ns1.idwebhost.i. Contoh soal bangun datar gabungan dan jawabannya kelas 6 terbaru 2019.

Soal Dan Pembahasan Matriks Pdf Kemendikbud
Soal Dan Pembahasan Matriks Pdf Kemendikbud from image.slidesharecdn.com
Enjoy low prices and free shipping when you buy now online. The host name of this website is ajarhitung.com. Di atas itulah tadi pokok pokok pembahasan tentang materi kita malam ini tentang kumpulan contoh soal pecahan kelas 6 sd semester 2 lengkap jawabannya dan rasa tidak. Www.ajarhitung.com www.ajarhitung.net www.ajarhitung.org www.ajarhitung.info www.ajarhitung.biz www.ajarhitung.us. See how visitors are really using your website, collect user feedback and turn more visitors into customers. Hari ini mau latihan soal tentang logika matematika. Find a great collection of laptops, printers, desktop computers and more at hp. The alexa ranking is 425023 according to the actual lists.

The name servers are dns1.idwebhost.biz, dns2.idwebhost.biz, dns4.idwebhost.com, ns1.idwebhost.i.

Www.ajarhitung.com www.ajarhitung.net www.ajarhitung.org www.ajarhitung.info www.ajarhitung.biz www.ajarhitung.us. Belediyenin almanya'ya eğitime gönderdiği 45 kişiden 43'ü geri dönmedi. Enjoy low prices and free shipping when you buy now online. See how visitors are really using your website, collect user feedback and turn more visitors into customers. The host name of this website is ajarhitung.com. Human remains were reportedly found in the landing gear of a us military plane after it departed kabul airport, with harrowing unverified footage purporting to show a person trapped on the plane's exterior. Unfortunately ajarhitung.com does not have ssl certificate. Cara menghitung bayangan titik pencerminan atau refleksi ~ ajar hitungjika kalian ingin latihan soal lebih banyak lagi, kalian bisa klik link ke blog ajar. Daily jang deliver latest news, breaking news, urdu news, current news, top headlines in urdu from pakistan, world, sports, business, cricket , politics and weather. Kelakuan remaja yang gak patut dicontoh. Di atas itulah tadi pokok pokok pembahasan tentang materi kita malam ini tentang kumpulan contoh soal pecahan kelas 6 sd semester 2 lengkap jawabannya dan rasa tidak. Aslında dönecekler ama orada kurulu düzenleri var. Find a great collection of laptops, printers, desktop computers and more at hp.

See how visitors are really using your website, collect user feedback and turn more visitors into customers. Daily jang deliver latest news, breaking news, urdu news, current news, top headlines in urdu from pakistan, world, sports, business, cricket , politics and weather. Unfortunately ajarhitung.com does not have ssl certificate. Search and download from millions of hd stock photos, royalty free images, cliparts, vectors and illustrations. Berikut ini adalah rumus untuk operasi bilangan bulat:

Contoh Soal Dan Pembahasan Tentang Limit Ajar Hitung
Contoh Soal Dan Pembahasan Tentang Limit Ajar Hitung from 4.bp.blogspot.com
Aslında dönecekler ama orada kurulu düzenleri var. Contoh soal bangun datar gabungan dan jawabannya kelas 6 terbaru 2019. Di atas itulah tadi pokok pokok pembahasan tentang materi kita malam ini tentang kumpulan contoh soal pecahan kelas 6 sd semester 2 lengkap jawabannya dan rasa tidak. Find a great collection of laptops, printers, desktop computers and more at hp. Hari ini mau latihan soal tentang logika matematika. The alexa ranking is 425023 according to the actual lists. Www.ajarhitung.com www.ajarhitung.net www.ajarhitung.org www.ajarhitung.info www.ajarhitung.biz www.ajarhitung.us. View more news at :

The host name of this website is ajarhitung.com.

Contoh soal bangun datar gabungan dan jawabannya kelas 6 terbaru 2019. View more news at : Ajarhitung website performance and popularity rates. Aslında dönecekler ama orada kurulu düzenleri var. Www.ajarhitung.com www.ajarhitung.net www.ajarhitung.org www.ajarhitung.info www.ajarhitung.biz www.ajarhitung.us. Human remains were reportedly found in the landing gear of a us military plane after it departed kabul airport, with harrowing unverified footage purporting to show a person trapped on the plane's exterior. The alexa ranking is 425023 according to the actual lists. Kelakuan remaja yang gak patut dicontoh. The host name of this website is ajarhitung.com. Berikut ini adalah rumus untuk operasi bilangan bulat: Cara menghitung bayangan titik pencerminan atau refleksi ~ ajar hitungjika kalian ingin latihan soal lebih banyak lagi, kalian bisa klik link ke blog ajar. Unfortunately ajarhitung.com does not have ssl certificate. Hari ini mau latihan soal tentang logika matematika.

Posting Komentar untuk "Www.ajarhitung.com / Contoh Soal Dan Pembahasan Tentang Program Linear Ajar Hitung - View more news at :"